Software Update

Title

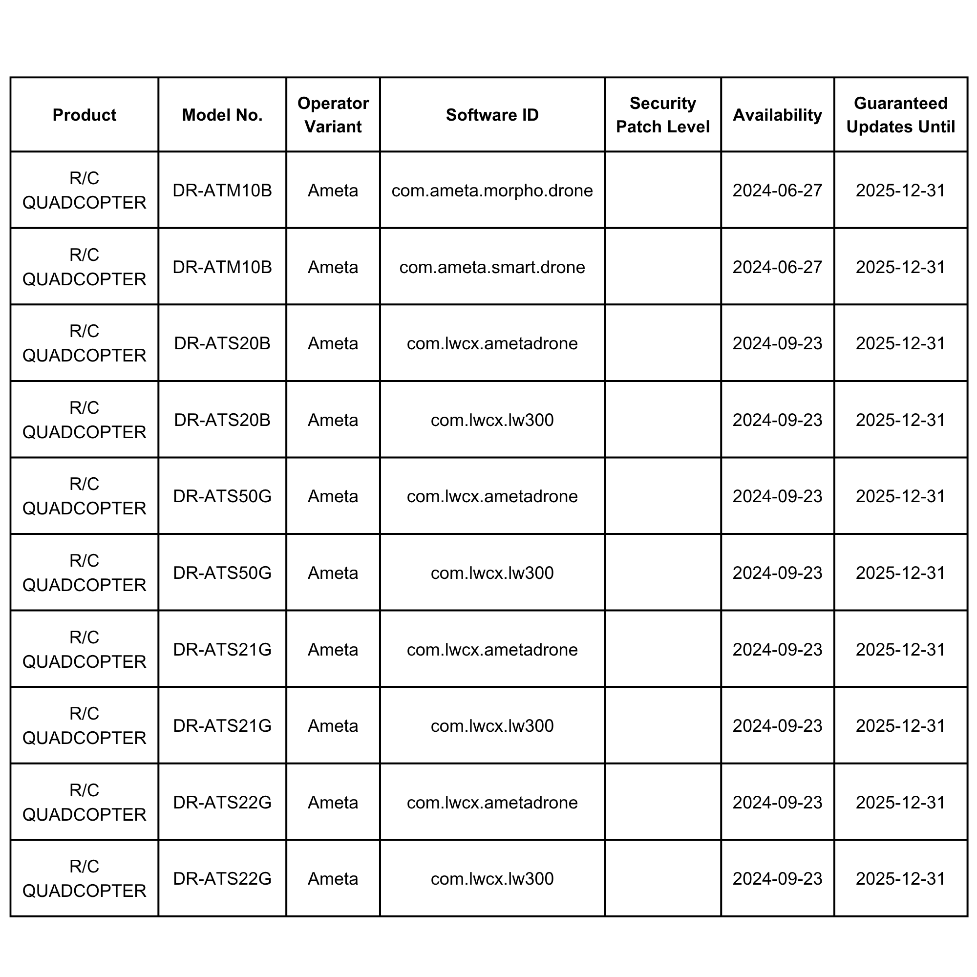
Ameta will regularly provide updated experiences, including new software versions. The actual date you receive these updates may vary depending on factors like device model and carrier variant. We recommend users promptly accept all upgrade versions to ensure optimal performance.

*Note:

If we extend the duration of providing software updates and redefine the support period, any new changes will be announced on the website.